Monday February 2026

হটলাইন

কনটেন্টটি শেষ হাল-নাগাদ করা হয়েছে: রবিবার, ৫ জানুয়ারী, ২০২৫ এ ১২:৩৫ PM

এপিএ প্রতিবেদনসমূহ (মাসিক/ত্রৈমাসিক/বার্ষিক প্রতিবেদন)

কন্টেন্ট: পাতা

বার্ষিক কর্মসম্পাদন চুক্তির (APA) ত্রৈমাসিক প্রতিবেদন (২০২৪-২০২৫ অর্থবছর)

ক্রমিক নং শিরোনাম ডাউনলোড
৪র্থ ত্রৈমাসিক প্রতিবেদন
৩য় ত্রৈমাসিক প্রতিবেদন
২য় ত্রৈমাসিক প্রতিবেদন
১ম ত্রৈমাসিক প্রতিবেদন ৭০-APA 1st QUATERLY.pdf

বার্ষিক কর্মসম্পাদন চুক্তির (APA) ত্রৈমাসিক প্রতিবেদন (২০২৩-২০২৪ অর্থবছর)

ক্রমিক নং শিরোনাম ডাউনলোড
৪র্থ ত্রৈমাসিক প্রতিবেদন
৩য় ত্রৈমাসিক প্রতিবেদন
২য় ত্রৈমাসিক প্রতিবেদন
১ম ত্রৈমাসিক প্রতিবেদন july-sept2023.pdf



বার্ষিক কর্মসম্পাদন চুক্তির (APA) মাসিক প্রতিবেদন (২০২৩-২০২৪ অর্থবছর)

ক্রমিক নং শিরোনাম ডাউনলোড
জানুয়ারি /২০২৪ মাসের প্রতিবেদন january 2024.png
ডিসেম্বর /২০২৩ মাসের প্রতিবেদন december2023.png
নভেম্বর /২০২৩ মাসের প্রতিবেদন November/23.pdf
অক্টোবর /২০২৩ মাসের প্রতিবেদন October/23.pdf
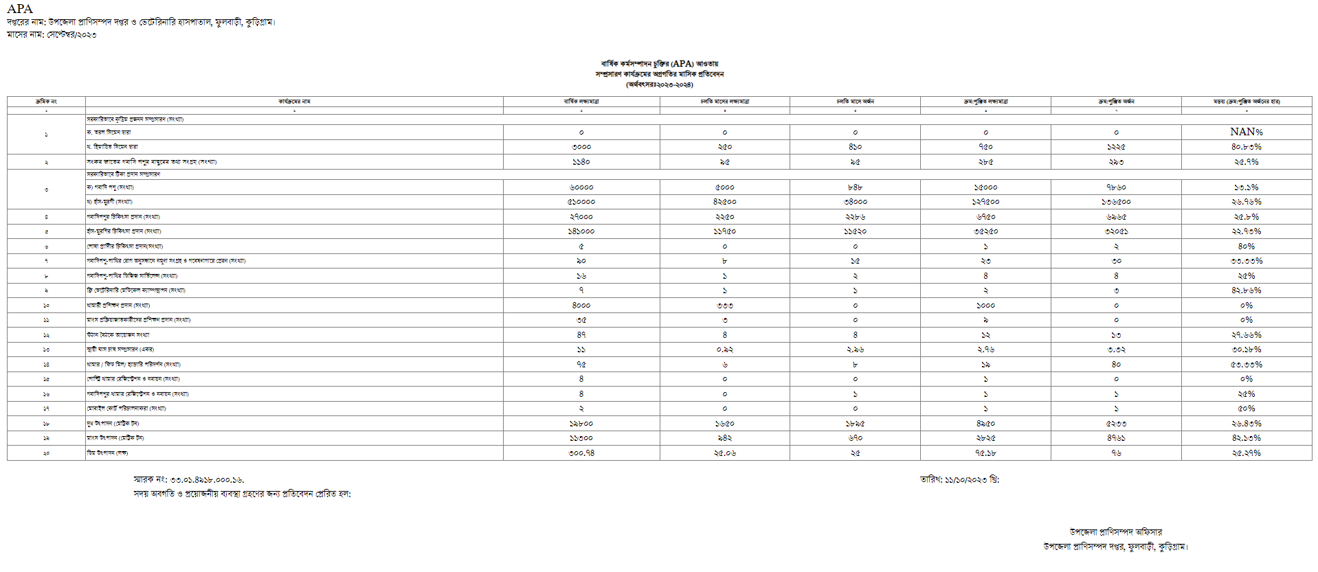
সেপ্টেম্বর /২০২৩ মাসের প্রতিবেদন september 23.png
আগষ্ট /২০২৩ মাসের প্রতিবেদন august 23.png
জুলাই/২০২৩ মাসের প্রতিবেদন july 23.png

বার্ষিক কর্মসম্পাদন চুক্তির (APA) বার্ষিক প্রতিবেদন (২০২২-২০২৩ অর্থবছর)

ক্রমিক নং শিরোনাম ডাউনলোড
বার্ষিকপ্রতিবেদন yearly 22-23.png

বার্ষিক কর্মসম্পাদন চুক্তির (APA) অর্ধ -বার্ষিক প্রতিবেদন (২০২২-২০২৩ অর্থবছর)

ক্রমিক নং শিরোনাম ডাউনলোড
অর্ধ বার্ষিকপ্রতিবেদন half yearly 22-23.png

বার্ষিক কর্মসম্পাদন চুক্তির (APA) ত্রৈমাসিক প্রতিবেদন (২০২২-২০২৩ অর্থবছর)

ক্রমিক নং শিরোনাম ডাউনলোড
৪র্থ ত্রৈমাসিক প্রতিবেদন apr 23- jun 23.pdf

৩য় ত্রৈমাসিক প্রতিবেদন january to march 2023.pdf

২য় ত্রৈমাসিক প্রতিবেদন

oct 22-dec 22.pdf
১ম ত্রৈমাসিক প্রতিবেদন july 22-sep 22.pdf

বার্ষিক কর্মসম্পাদন চুক্তির (APA) মাসিক প্রতিবেদন (২০২২-২০২৩ অর্থবছর)

ক্রমিক নং শিরোনাম ডাউনলোড
১২ জুন /২০২৩ মাসের প্রতিবেদন june23.png
১১

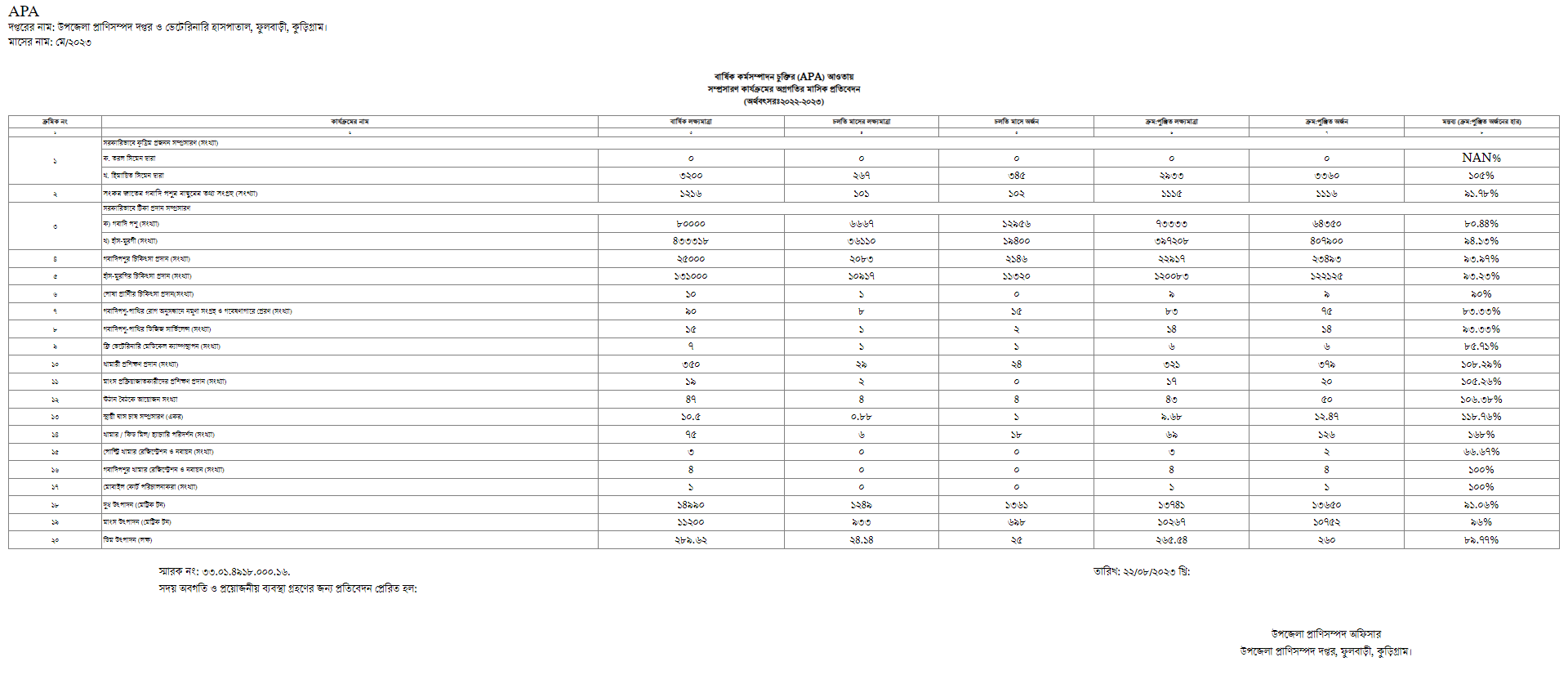
মে /২০২৩ মাসের প্রতিবেদন

may 23.png
১০

এপ্রিল /২০২৩ মাসের প্রতিবেদন

april 23.png

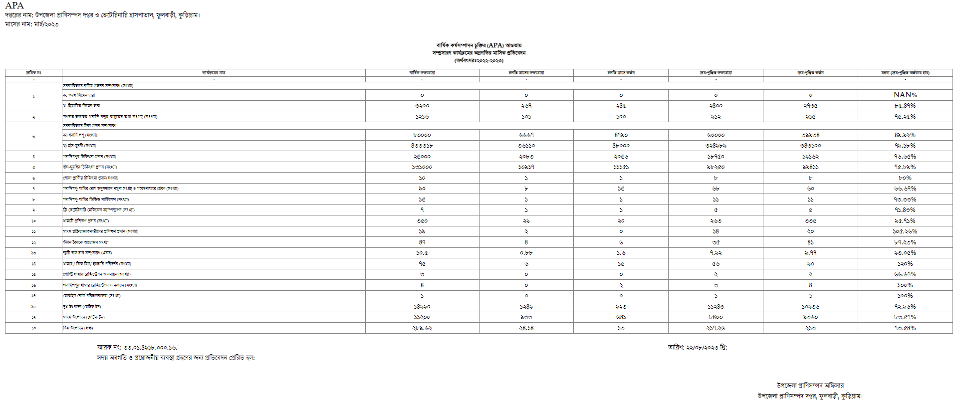
মার্চ /২০২৩ মাসের প্রতিবেদন

march23.png

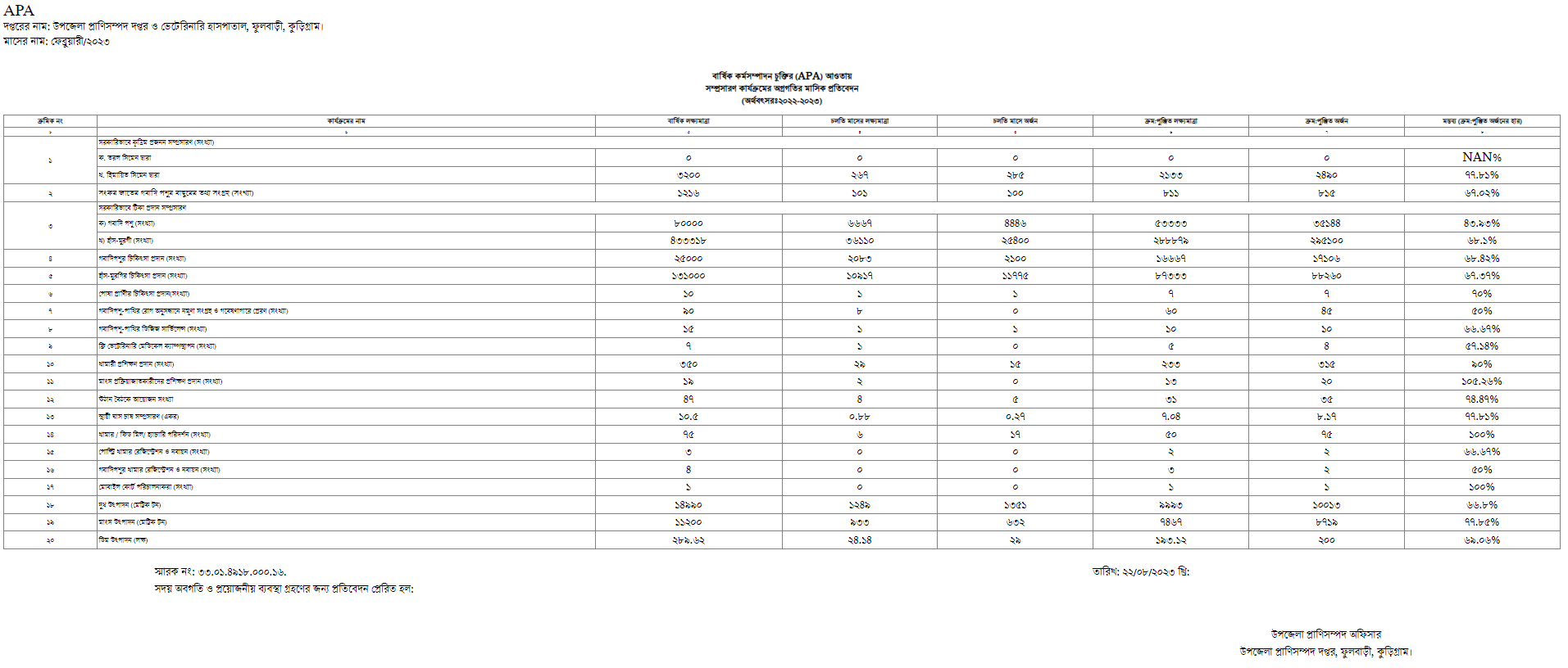
ফেব্রুয়ারি/২০২৩ মাসের প্রতিবেদন

februaray 23.png
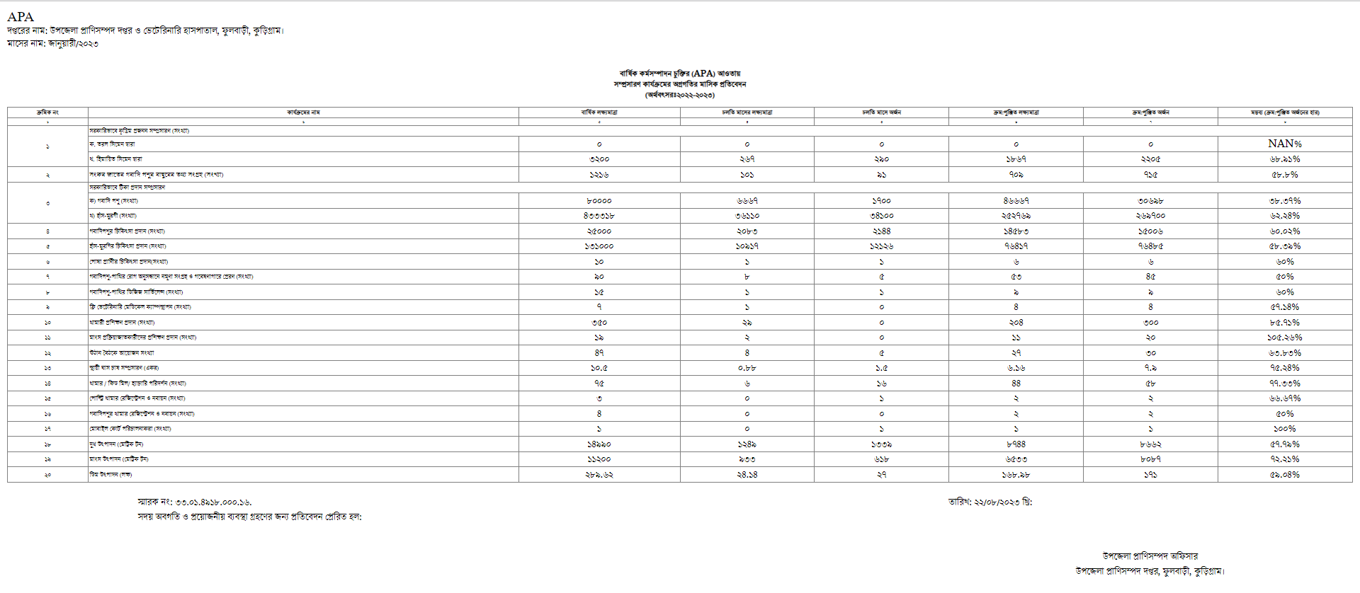
জানুয়ারি /২০২৩ মাসের প্রতিবেদন january23.png
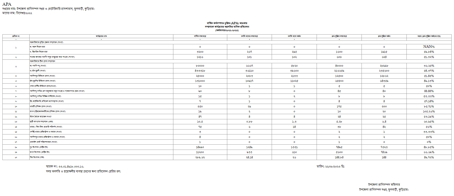
ডিসেম্বর/২০২২ মাসের প্রতিবেদন decembor22.png
নভেম্বর/২০২২ মাসের প্রতিবেদন november22.png
অক্টোবর/২০২২ মাসের প্রতিবেদন octobor 22.png
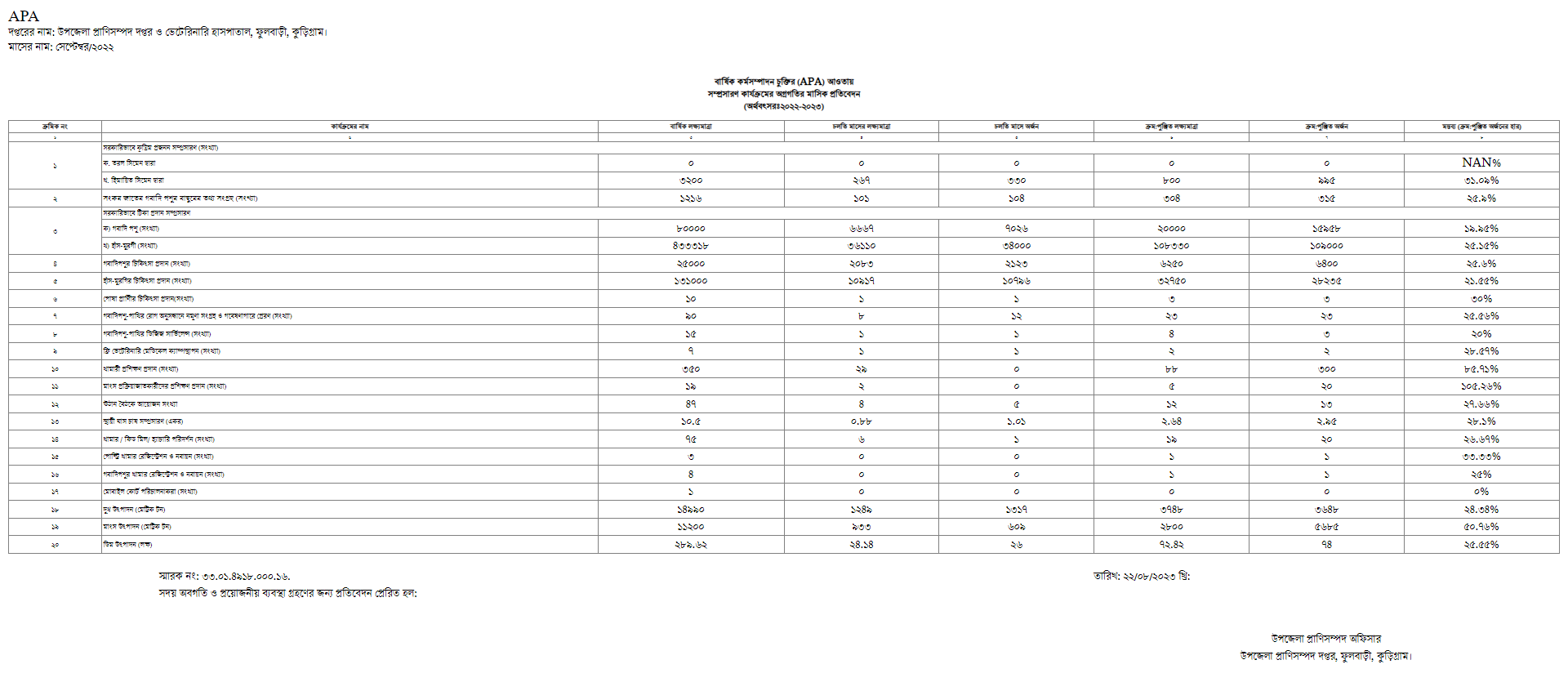
সেপ্টেম্বর/২০২২ মাসের প্রতিবেদন septembar22.png
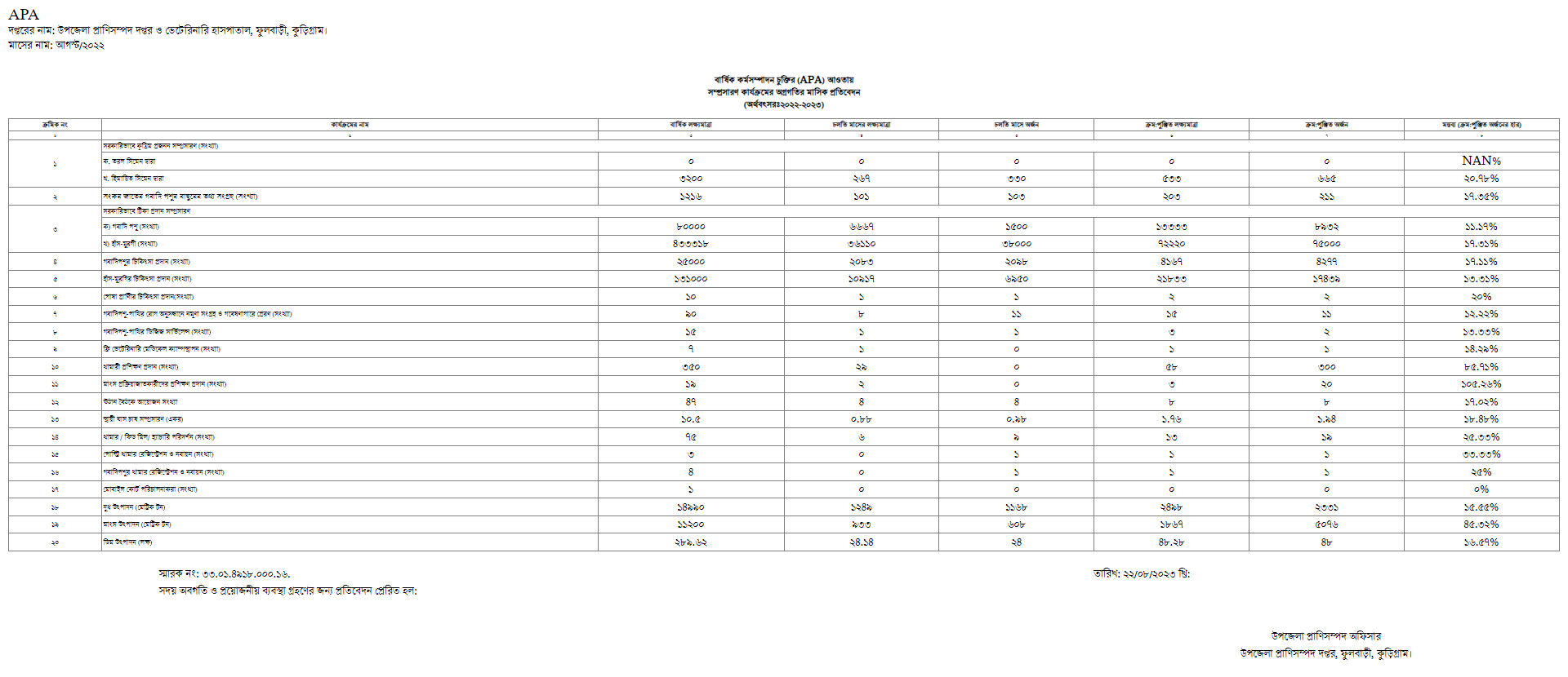
আগষ্ট /২০২২ মাসের প্রতিবেদন august22.png
জুলাই/২০২২ মাসের প্রতিবেদন july22.png

এক্সেসিবিলিটি

স্ক্রিন রিডার ডাউনলোড করুন